Wasserman & Faust 算法
该算法是针对于非连通图的变式.
其中:
- 表示节点.
- 表示总的节点数量.
- 表示与 在同一个分量中的节点的数量.
- 表示另一个节点 到 的最短距离.
中心性算法用于理解图中特定节点的左右及其对网络的影响, 可以帮助我们识别最重要的节点.
本文将介绍以下算法:
用于度量节点拥有的关系数量, 数值越大表示其中心性越高.
G = (V, E).CD′(Ni)=n−1Ndegree
其中:
该公式已标准化.
用于发现可通过子图高效传播信息的节点, 数值越高表示其与其他各个节点的举例最短. 当需要知道哪个节点的传播速度最快的时候可以使用该算法.
G = (V, E).衡量节点中心性的指标是其到其他各个节点的平均距离. 紧密中心性算法在计算所有节点对之间的最短路径的基础上, 还要计算它到其他各个节点的距离之和, 然后对结果求倒数.
C(u)=∑v=1n−1d(u,v)1
其中:
更常见的作法是将计算结果进行归一化, 以此表示最短路径的平均长度, 而不是最短路径之和. 归一化公式如下:
Cnorm(u)=∑v=1n−1d(u,v)n−1
只计算同 label 之间的节点.
实际上只计算每个连通子图中的紧密中心性.
Wasserman & Faust 算法
该算法是针对于非连通图的变式.
CWF(u)=N−1n−1(∑v=1n−1d(u,v)n−1)
其中:
用于检测节点对图中信息流或资源的影响程度, 通常用于查找将图的一部分与另一部分桥接的节点.
G = (V, E).B(u)=s=u=t∑pp(u)
其中:
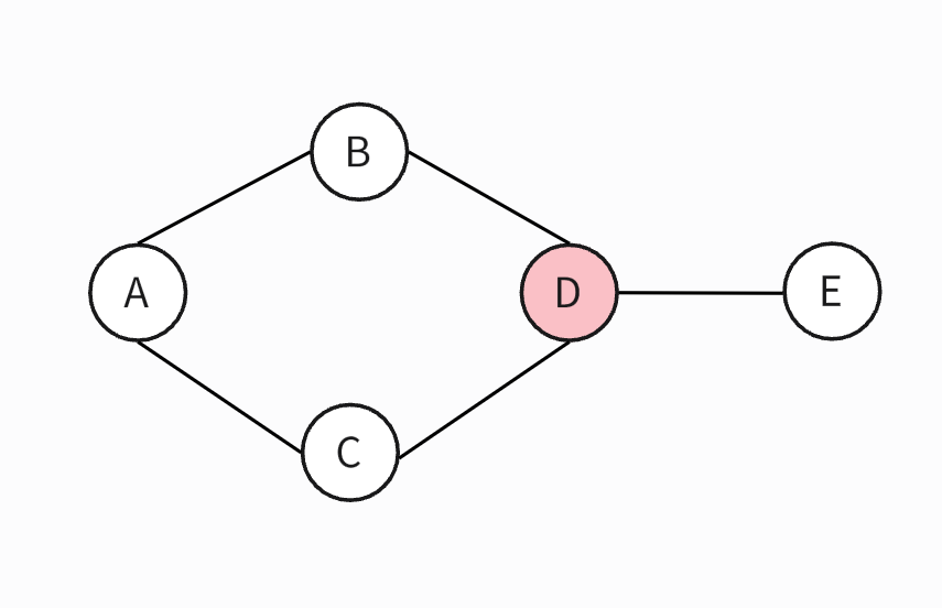
下图中展示了计算中介中间性得分的步骤.

针对节点 D 的计算过程如下:
| 通过 D 的最短路径节点对 | 节点对之间的最短路径总数 p | 占通过 D 最短路径数量的百分比 pp(u) |
|---|---|---|
| (A, E) | 1 | 1 |
| (B, E) | 1 | 1 |
| (C, E) | 1 | 1 |
| (B, C) | 2 (分别是 B->A->C 和 B->D->C) | 0.5 |
所以根据公式, 节点 D 的中介性得分是: 1 + 1 + 1 + 0.3 = 3.5.
本文参考资料
更新说明